微生物法修復石油污染土壤,是指通過改變微生物外部生活環境和依照生物自身的遺傳變異規律提高石油降解速度和程度的一種修復方法。微生物修復技術具有手段多樣化、降解程度高、代謝旺盛且代謝物無毒害的特點,被認為是生態環境保護領域最有價值、最有前途的和對土壤修復較為徹底的污染修復技術。
圖2-1 某石油污染場地狀況
一、土壤中石油降解微生物種群組成
自然界中能降解石油烴的微生物廣泛存在于土壤圈、水圈等圈層中。許多微生物具有以石油烴為唯一碳源和能源而生長的能力。到目前為止,己查知能降解石油中各種烴類的微生物共約100余屬、200多種,他們分屬于細菌、放線菌、霉菌、酵母以至藻類。土壤中最常見的石油降解細菌群數由高到低分別為:假單胞菌屬(Pseudomonas)、節核細菌屬(Arthrobacter)、產堿桿菌屬(AIcaligenes)、棒狀桿菌屬(Corynebacterium)、黃桿菌屬(Flavobacterium)、無色菌屬(Aomobacter)、微球菌屬(Micrococcus)、諾卡氏菌屬(Nocardia)和分支桿菌屬(Mycobacterium)。最常見的石油降解真菌種群數由高到低:木霉屬(Trichoderma)、青霉屬(Penicillium)、曲霉屬(Aspergillus)、森田屬(Mortierella)。
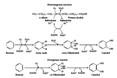
二、微生物對石油烴的降解機理
石油污染物進入降解微生物的細胞膜后,通過三種同化作用被降解:好氧呼吸、厭氧呼吸和發酵作用。一般情況下,生物降解石油污染物主要是通過好氧生物的降解作用,利用石油污染土壤環境中的土著菌種或者向受污染的土壤中施加經過馴化的微生物,在C/N適當的情況下,微生物將石油類物質中的烴類代謝為不飽和脂肪酸同時產生某些雙鍵的位移或產生甲基化,形成脂肪酸,加速新陳代謝,在氧氣充足的條件下,發生氧化作用,脫氫生成水和CO2。石油污染物的降解并不能簡單看作某一同化作用,而是一個非常復雜的過程。
圖2-2 石油烴降解過程主要酶促反應
上一篇:土壤重金屬污染全球現狀

